證券代碼:600592 證券簡稱:龍溪股份 編號:2020-006
福建龍溪軸承(集團)股份有限公司
關于委托理財的進展公告
| ????本公司及董事會全體成員保證公告內容的真實、準確和完整,對公告的虛假記載、誤導性陳述或重大遺漏負連帶責任。 |
重要內容提示:
委托理財受托方:廈門銀行股份有限公司(以下簡稱“廈門銀行”)。
本次委托理財金額:委托廈門銀行理財6,000萬元。
委托理財產品名稱:人民幣掛鉤型結構性存款CK2002668。
委托理財期限: 2020年4月7日- 2020年5月22日共45天。
履行的審議程序:公司2017年年度股東大會審議通過《關于使用自有資金投資理財產品的議案》;公司七屆十次董事會審議通過《關于使用自有資金投資理財產品的議案》,具體詳見公司2018年5月25日、2019年2月27日刊登在上海證券交易所網站及上海證券報《龍溪股份2017年年度股東大會決議公告》(2018-015)、《龍溪股份關于擬使用自有資金投資理財產品的公告》(2019-005)。
一、本次委托理財概況
(一)委托理財目的
為提高資金使用效率,公司在確保不影響生產經營資金需求的前提下,擬使用自有資金購買安全性高、流動性好、本金安全的理財產品。
(二)資金來源
本次委托理財的資金來源為公司閑置自有資金。
(三)委托理財產品的基本情況
廈門銀行委托理財產品基本情況
(四)公司對委托理財相關風險的內部控制
公司將風險控制放在首位,對理財產品投資嚴格把關,謹慎投資。
1.投資風險
盡管理財產品屬于低風險投資品種,但金融市場受宏觀經濟的影響較大,公司將根據經濟形勢以及金融市場的變化適時適量介入,但不排除該項投資受到市場波動的影響。
2.針對投資風險,擬采取措施如下;
(1)公司將及時分析和跟蹤理財產品投向、項目進展情況,一旦發現或判斷有不利因素,將及時采取相應的保全措施,控制投資風險;若出現產品發行主體財務狀況惡化、所投資的產品面臨虧損等重大不利因素時,公司將及時予以披露;
(2)公司審計部負責對低風險投資理財資金使用與保管情況的審計與監督,每個季度末應對所有理財產品投資項目進行全面檢查,并根據謹慎性原則,合理的預計各項投資可能發生的收益和損失,并向審計委員會報告;
(3)獨立董事、監事會有權對資金使用情況進行監督與檢查,必要時可以聘請專業機構進行審計。
(4)公司將依據中國證監會、上海證券交易所的相關規定,在定期報告中披露報告期內理財產品的購買以及損益情況。
公司本次購買的理財產品符合董事會和公司內部資金管理的要求。
二、本次委托理財的具體情況
(一)委托理財合同主要條款
廈門銀行委托理財合同主要條款
(二)委托理財的資金投向
廈門銀行委托理財產品資金投向與人民幣3個月SHIBOR掛鉤。
三、委托理財受托方的情況
(一) 本次委托理財受托方為廈門銀行股份有限公司。
(二) 廈門銀行股份有限公司為非上市金融機構,其基本信息如下:
說明:廈門銀行主要業務包括吸收公眾存款;發放短期、中期和長期貸款;辦理國內結算;辦理票據貼現;發行金融債券;代理發行、代理兌付、承銷政府債券;買賣政府債券;從事同業拆借;提供擔保及服務;代理收付款項及代理保險業務;提供保險箱業務;辦理地方財政信用周轉使用資金的委托貸款業務;外匯存款、外匯貸款、外匯匯款、外幣兌換、外匯同業拆借、國際結算、結匯、售匯、外匯票據的承兌和貼現、資信調查、咨詢、見證業務;經銀行業監督管理機構等監管機構批準的其他業務。
(三)廈門銀行最近一年主要財務指標:單位:萬元
(四)廈門銀行與公司、公司控股股東及實際控制人不存在關聯關系,上述理財受托方并非為本次交易專設。
四、對公司的影響
(一)公司最近一年又一期的主要財務情況如下: 單位:萬元
注:公司2019年9月30日的財務數據未經審計
(二)理財業務對公司的影響
公司本次擬使用自有資金投資本金安全的理財產品,是在保障企業生產經營活動資金需求并兼顧資金安全的前提下進行的,不會影響公司日常資金的正常周轉,不會影響公司主營業務的正常發展。使用自有資金投資理財產品,可以獲得一定的投資收益,提高資金使用效率和效益,有利于提升公司業績水平,為股東謀取較好的投資回報。
(三)會計處理
根據新金融工具準則,公司將理財產品列示為“其他流動資產”。
五、風險提示
公司本次購買的保本浮動收益型結構性存款產品屬于低風險型產品,但金融市場受宏觀經濟影響較大,不排除該項投資受到市場風險、政策風險、流動性風險、不可抗力風險等因素而影響預期收益。
六、決策程序的履行
公司理財事項決策程序。2018年5月25日,公司召開2017年年度股東大會,審議通過《關于使用自有資金投資理財產品的議案》,同意公司在不影響生產經營資金需求的前提下,使用總額不超過人民幣20,000萬元(含20,000萬元)的暫時閑置自有資金投資安全性高、流動性好、本金安全的理財產品,上述資金使用期限不超過股東大會審議通過后的24個月,公司可在使用期限及額度范圍內滾動投資。2019年2月27日公司召開七屆十次董事會,審議通過了《關于使用自有資金投資理財產品的議案》,同意公司在不影響生產經營資金需求的前提下,新增使用總額不超過人民幣30,000萬元(含30,000萬元)的暫時閑置自有資金投資安全性高、流動性好、本金安全的理財產品,上述資金使用期限不超過董事會審議通過后的16個月,公司可在使用期限及額度范圍內滾動投資。公司監事會同意公司本次使用自有資金投資理財產品的議案,并發表了明確的同意意見。
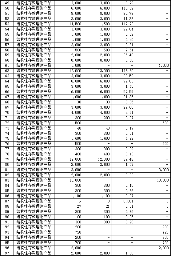
七、截至本公告日,公司最近十二個月使用自有資金或募集資金委托理財的情況:金額:萬元
特此公告。
福建龍溪軸承(集團)股份有限公司
董 事 會
2020年4月8日







